如何以相同的步长将欧拉方法与二阶龙格库塔方法进行比较?

我有两种用于数值微分方程问题的算法,一种称为 Euler 方法,另一种称为二阶 Runge Kutta(RK2) 。本质上,欧拉方法和 RK2 近似于微分方程的解。唯一的区别是它们使用不同的公式(欧拉使用泰勒级数的一阶导数,而 RK2 是泰勒级数的二阶导数)。

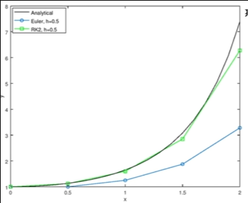
我正在尝试更正我编写的一些代码,以便它返回以下解决方案,

http://img1.mukewang.com/63578d2200013d5703540290.jpg

但是,当涉及到 RK2 时,我的代码没有返回正确的值,而是返回以下内容,

http://img4.mukewang.com/63578d2c0001492203780266.jpg

请注意,在我的解决方案中,我将步长 h 称为 dt。我在下面提供了用于创建此代码的代码,然后是二阶 Runge Kutta 方法的数值示例,该方法以数值方式工作。我有兴趣展示 RK2 的收敛速度比 Euler 的方法更快。


元芳怎么了
浏览 202回答 1
1回答

青春有我

有两个小细节:在 RK-2 循环中,您使用的是 z,但要存储您使用的值 i在初始代码中,您在更新 K2 时使用了 y+K1/K2,这是错误的。我看到你在第二个代码中修复它。所以,固定代码是:import matplotlib.pyplot as pltimport numpy as npfrom math import exp  # exponential functiondy = lambda x, y: x * yf = lambda x: exp(x ** 2 / 2)  # analytical solution functionx_final = 2# analytical solutionx_a = np.arange(0, x_final, 0.01)y_a = np.zeros(len(x_a))for i in range(len(x_a)):    y_a[i] = f(x_a[i])plt.plot(x_a, y_a, label="analytical")# Container for step sizes dt /dtdt = 0.5x = 0y = 1print("dt = " + str(dt))print("x \t\t y (Euler) \t y (analytical)")print("%f \t %f \t %f" % (x, y, f(x)))n = int((x_final - x) / dt)x_e = np.zeros(n + 1)y_e = np.zeros(n + 1)x_e[0] = xy_e[0] = y#Plot Euler's methodfor i in range(n):    y += dy(x, y) * dt    x += dt    print("%f \t %f \t %f" % (x, y, f(x)))    x_e[i + 1] = x    y_e[i + 1] = yplt.plot(x_e, y_e, "x-", label="Euler dt=" + str(dt))###################33# Runge-Kutta's method 2'nd order (RK2)x = 0y = 1print("dt = " + str(dt))print("x \t\t y (rk2) \t y (analytical)")print("%f \t %f \t %f" % (x, y, f(x)))n = int((x_final - x) / dt)x_r = np.zeros(n + 1)y_r = np.zeros(n + 1)x_r[0] = xy_r[0] = y# Plot the RK2for i in range(n):    K1 = dt*dy(x,y) # Step 1    K2 = dt*dy(x+dt/2,y+K1/2) # Step 2    y += K2 # Step 3    x += dt    print("%f \t %f \t %f" % (x, y, f(x)))    x_r[i + 1] = x    y_r[i + 1] = yplt.plot(x_r, y_r, "s-", label="RK2 dt=" + str(dt))plt.title("numerical differential equation problem")plt.xlabel("x")plt.ylabel("y")plt.legend()plt.show()
打开App,查看更多内容
随时随地看视频慕课网APP

相关分类

Python