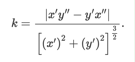
我正在尝试在 python 中为 X 和 Y 点实现以下公式

我试过以下方法
def f(c):
"""This function computes the curvature of the leaf."""
tt = c
n = (tt[0]*tt[3] - tt[1]*tt[2])
d = (tt[0]**2 + tt[1]**2)
k = n/d
R = 1/k # Radius of Curvature
return R
有一些不正确的地方,因为它没有给我正确的结果。我认为在前两行计算导数时我犯了一些错误。我该如何解决?
以下是数据框中的一些点:
pts = pd.DataFrame({'x': x, 'y': y})
x y
0.089631 97.710199
0.089831 97.904541
0.090030 98.099313
0.090229 98.294513
0.090428 98.490142
0.090627 98.686200
0.090827 98.882687
0.091026 99.079602
0.091225 99.276947
0.091424 99.474720
0.091623 99.672922
0.091822 99.871553
0.092022 100.070613
0.092221 100.270102
0.092420 100.470020
0.092619 100.670366
0.092818 100.871142
0.093017 101.072346
0.093217 101.273979
0.093416 101.476041
0.093615 101.678532
0.093814 101.881451
0.094013 102.084800
0.094213 102.288577
pts_x = np.gradient(x_c, t) # first derivatives
pts_y = np.gradient(y_c, t)
pts_xx = np.gradient(pts_x, t) # second derivatives
pts_yy = np.gradient(pts_y, t)
获得导数后,我使用以下代码将导数 x_prim、x_prim_prim、y_prim、y_prim_prim 放入另一个数据帧中:
d = pd.DataFrame({'x_prim': pts_x, 'y_prim': pts_y, 'x_prim_prim': pts_xx, 'y_prim_prim':pts_yy})
在数据框中包含所有内容之后,我正在为数据框的每一行调用函数,以使用以下代码在该点获得曲率:
# Getting the curvature at each point
for i in range(len(d)):
temp = d.iloc[i]
c_temp = f(temp)
curv.append(c_temp)
慕婉清6462132
收到一只叮咚
守着一只汪
随时随地看视频慕课网APP
相关分类