线性回归的数学表示
线性回归的数据表示
12345
线性回归的数学表示:

线性回归的一般化模型的数学表示
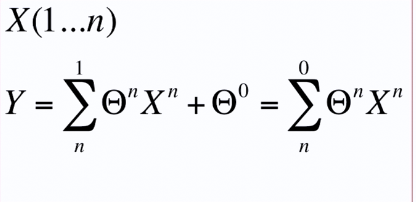
θ^0表示一维时的截距
也表示为多维时的偏移量
线性回归的数学表示
线性回归的一般化模型的数学表示
θ^0表示一维时的截距
也表示为多维时的偏移量

线性回归的数学表示
1