matplotlib是python中常用的数据图形化工具,用法跟matlab有点相似。调用简单,功能强大。在Windows下可以通过命令行 pip install matplotlib 来进行安装。
以下为一些基础使用的例子:
1、绘制直线
先通过numpy生成在直线 y = 5 * x + 5 上的一组数据,然后将其绘制在图表上
1 import numpy as np2 import matplotlib.pyplot as plot3 4 x = np.linspace(1, 10, 10)5 y = 5 * x + 56 7 # plot.figure()8 plot.plot(x, y)9 plot.show()
运行上面的代码,结果如下:

2、绘制折线图
绘制折线图调用的matplotlib的方法一样,只是使用numpy生成的数据不一样。
1 import numpy as np2 import matplotlib.pyplot as plot3 4 x = np.linspace(1, 10, 10)5 y = np.random.normal(1, 5, 10)6 7 plot.figure()8 plot.plot(x, y)9 plot.show()
由于涉及到随机数,每次运行的结果会不一样。某次运行结果如下:

3、同时绘制多条样式不一的曲线
plot方法可以同时绘制多条图线,并支持不同的曲线采用不同的样式和颜色来显示。在下面的代码中,plot方法的参数,3个为一组,共3组,每一组的参数分别为 x轴坐标、y轴坐标和样式。
样式用法:
格式:
fmt = '[color][marker][line]'
样式的第一个字母表示颜色,支持的颜色有:r(red)、g(green)、b(blue)、c(cyan)、m(megenta)、y(yellow)、w(white)、k(black)。
样式的第二部分表示图线的填充符号,可以写:--(虚线)、+(加号)、^(向上的正三角形)、s(正方形)、o(圆形)等。还可以同时采用两种填充方式,如‘ro--’表示用红色的虚线及实心圆来同时进行填充。
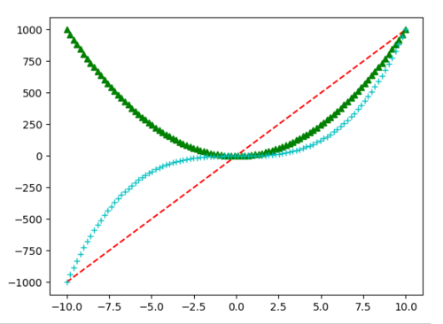
import numpy as npimport matplotlib.pyplot as plot x = np.linspace(-10, 10, 100) plot.plot(x, 100 * x, 'r--', x, 10*x ** 2, 'g^', x, x ** 3, 'c+') plot.show()

4、绘制散点图
调用 scatter 方法可以绘制散点图。
import numpy as npimport matplotlib.pyplot as plot
x = np.linspace(1, 10, 10)
y = np.linspace(1, 10, 10)
plot.scatter(x, y)
plot.ylabel('y value')
plot.xlabel('x scale')
plot.title('Scatter Figure')
plot.show()输出:

可以通过设置不同参数的形式获得不同的散点图:
1 import numpy as np 2 import matplotlib.pyplot as plot 3 4 # 固定随机数的seed,使其每次运行产生的结果都一样 5 np.random.seed(1) 6 7 num = 100 8 edgeRadius = 0.5 9 x = np.random.rand(num)10 y = np.random.rand(num)11 area = (200 * np.random.rand(num))12 color = np.sqrt(area)13 # 创建区域,用不同的样式来显示不同分区的点14 triangleArea = np.ma.masked_where(x <= edgeRadius, area)15 diamondArea = np.ma.masked_where(x > edgeRadius, area)16 plot.scatter(x, y, s=triangleArea, marker='o', c=color)17 plot.scatter(x, y, s=diamondArea, marker='d', c=color)18 plot.title('Random Scatter')19 plot.show()
5、绘制柱状图与多个图形
在以下示例中, figure函数指定了图表的编号和大小比例,suptitle设置标题,subplot指定当前绘图的位置(参数221表示2x2共四个图形区域,最后的1表示第一个图形区域)。后面的bar、scatter、plot和pie函数分别绘制了柱状图、散点图、折(直)线图和饼图。
import matplotl ib.pyplot as plot
labels = ['A', 'B', 'C']
values = [1, 2, 3]
plot.figure(1, figsize=(9, 6))
plot.suptitle('Multiple Plots')
plot.subplot(221)
plot.bar(labels, values)
plot.subplot(222)
plot.scatter(labels, values)
plot.subplot(223)
plot.plot(labels, values)
plot.subplot(224)
plot.pie(values, labels=labels)
plot.show()

本文地址:https://www.cnblogs.com/laishenghao/p/9573465.html


随时随地看视频