面试 18:复杂链表的复制(剑指 Offer 第 26 题)
在上一篇推文中,我们留下的习题是来自《剑指 Offer》 的面试题 26:复杂链表的复制。
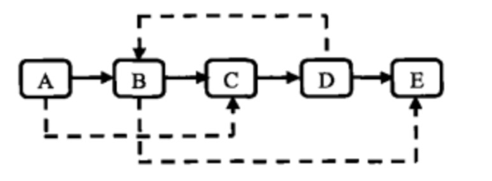
请实现复杂链表的复制,在复杂链表中,每个结点除了 next 指针指向下一个结点外,还有一个 sibling 指向链表中的任意结点或者 NULL。比如下图就是一个含有 5 个结点的复杂链表。

image.png
提前想好测试用例
依旧是我们熟悉的第一步,先想好我们的测试用例:
输入一个 null ,期望什么也不输出;
输入一个结点,sibling 指向自身,期望打印符合题干的值;
输入多个结点,部分 sibling 指向 null,期望打印符合题干的值。
思考程序逻辑
测试用例思考完毕,自然是开始思考我们的测试逻辑了,在思考的过程中,我们不妨尝试和面试官进行沟通,这样可以避免我们走不少弯路,而且也容易给面试官留下一个善于思考和沟通的好印象。
极易想到的逻辑是,我们先复制我们传统的单链表,然后再遍历单链表,复制 sibling 的指向。
假设链表中有个结点 A,A 的 sibling 指向结点 B,这个 B 可能在 A 前面也可能在 A 后面,所以我们唯一的办法只有从头结点开始遍历。对于一个含有 n 个结点的链表,由于定位每个结点的 sibling 都需要从链表头结点开始经过 O(n) 步才能找到,因此这种方法的时间复杂度是 O(n²)。
当我们告知面试官我们这样的思路的时候,面试官告诉我们,他期待的并不是这样的算法,这样的算法时间复杂度也太高了,希望能有更加简单的方式。
得到了面试官的诉求,我们再来看看我们前面的想法时间都花在哪儿去了。
很明显,我们上面的想法在定位 sibling 指向上面花了大量的时间,我们可以尝试在这上面进行优化。我们还是分为两步:第一步仍然是先复制原始链表上的每个结点 N 创建 N1,然后把这些创建出来的结点用 next 连接起来。同时我们把 <N,N1> 的配对信息放在一个哈希表中。第二步是设置复制链表的 sibling 指向,如果原始链表中有 N 指向 S,那么我们的复制链表中必然存在 N1 指向 S1 。由于有了哈希表,我们可以用 O(1) 的时间,根据 S 找到 S1。
这样的方法降低了时间成本,我们高兴地与面试官分享我们的想法,却被面试官指出,这样的想法虽然把时间复杂度降低到了 O(n),但却由于哈希表的存在,需要 O(n) 的空间,而他所期望的方法是不占用任何辅助空间的。
接下来我们再换一下思路,不用辅助空间,我们却要用更少的实际解决 sibling 的指向问题。
我们前面似乎对于指向都采用过两个指针的方法,这里似乎可以用类似的处理方式处理。
我们不妨利用原有链表对每个结点 N 在后面直接在后面创建 N1,这样相当于我们扩长原始链表长度为现有链表的 2 倍,奇数位置的结点连接起来是原始链表,偶数位置的结点连接起来就是我们的复制链表。
开始编写代码
我们先完成第一部分的代码。根据原始链表的每个结点 N ,创建 N1,并把 N 的 next 指向 N1,N1 的 next 指向 N 的 next。
private static void cloneNodes(Node head) {
Node node = null; while (head != null) { // 先新建结点
node = new Node(head.data); // 再把head 的 next 指向 node 的 next
node.next = head.next; // 然后把 node 作为 head 的 next
head.next = node; // 最后遍历条件
head = node.next;
}
}上面完成了复制结点,下面我们需要编写 sibling 的指向复制。
我们的思想是:当 N 执行 S,那么 N1 就应该指向 S1,即 N.next.sibling = N.sibling.next;
private static void connectNodes(Node head) { while (head != null) { if (head.sibling != null) { //如果 当前结点的 sibling 不为 null,那就把它后面的复制结点指向当前sibling指向的下一个结点
head.next.sibling = head.sibling.next;
} // 遍历
head = head.next.next;
}
}最后我们只需要拿出原本的链表(奇数)和复制的链表(偶数)即可。
private static Node reconnectList(Node head) { if (head == null) return null; // 用于存放复制链表的头结点
Node cloneHead = head.next; // 用于记录当前处理的结点
Node temp = cloneHead; // head 的 next 还是要指向原本的 head.next // 实际上现在由于复制后,应该是 head.next.next,即cloneHead.next
head.next = cloneHead.next; // 指向新的被复制结点
head = head.next; while (head != null) { // temp 代表的是复制结点 // 先进行赋值
temp.next = head.next; // 赋值结束应该给 next 指向的结点赋值
temp = temp.next; // head 的下一个结点应该指向被赋值的下一个结点
head.next = temp.next;
head = temp.next;
} return cloneHead;
}合并后的最终代码就是:
public class Test18 { private static class Node { int data;
Node next;
Node sibling;
Node(int data) { this.data = data;
}
} private static Node complexListNode(Node head) { if (head == null) return null; // 第一步,复制结点,并用 next 连接
cloneNodes(head); // 第二步,把 sibling 也复制起来
connectNodes(head); // 第三步,返回偶数结点,连接起来就是复制的链表 return reconnectList(head);
} private static void cloneNodes(Node head) {
Node node = null; while (head != null) { // 先新建结点
node = new Node(head.data); // 再把head 的 next 指向 node 的 next
node.next = head.next; // 然后把 node 作为 head 的 next
head.next = node; // 最后遍历条件
head = node.next;
}
} private static void connectNodes(Node head) { while (head != null) { if (head.sibling != null) { // 如果 当前结点的 sibling 不为 null,那就把它后面的复制结点指向当前sibling指向的下一个结点
head.next.sibling = head.sibling.next;
} // 遍历
head = head.next.next;
}
} private static Node reconnectList(Node head) { if (head == null) return null; // 用于存放复制链表的头结点
Node cloneHead = head.next; // 用于记录当前处理的结点
Node cloneNode = cloneHead; // head 的 next 还是要指向原本的 head.next // 实际上现在由于复制后,应该是 head.next.next,即cloneHead.next
head.next = cloneHead.next; // 因为我们第一个结点已经拆分了,所以需要指向新的被复制结点才可以开始循环
head = head.next; while (head != null) { // cloneNode 代表的是复制结点 // 先进行赋值
cloneNode.next = head.next; // 赋值结束应该给 next 指向的结点赋值
cloneNode = cloneNode.next; // head 的下一个结点应该指向被赋值的下一个结点
head.next = cloneNode.next;
head = cloneNode.next;
} return cloneHead;
} public static void main(String[] args) {
Node head1 = new Node(1);
Node node2 = new Node(2);
Node node3 = new Node(3);
Node node4 = new Node(4);
Node node5 = new Node(5);
head1.next = node2;
node2.next = node3;
node3.next = node4;
node4.next = node5;
node5.next = null;
head1.sibling = node4;
node2.sibling = null;
node3.sibling = node5;
node4.sibling = node2;
node5.sibling = head1;
print(head1);
Node root = complexListNode(head1);
System.out.println();
print(head1);
print(root);
System.out.println();
System.out.println(isSameLink(head1, root));
} private static boolean isSameLink(Node head, Node root) { while (head != null && root != null) { if (head == root) {
head = head.next;
root = root.next;
} else { return false;
}
} return head == null && root == null;
} private static void print(Node head) {
Node temp = head; while (head != null) {
System.out.print(head.data + "->");
head = head.next;
}
System.out.println("null"); while (temp != null) {
System.out.println(temp.data + "=>" + (temp.sibling == null ? "null" : temp.sibling.data));
temp = temp.next;
}
}
}验证测试用例
写毕代码,我们验证我们的测试用例。
输入一个 null ,也不会输出,测试通过;
输入一个结点,sibling 指向自身,测试通过;
输入多个结点,部分 sibling 指向 null,测试通过。
课后习题
下一次推文的习题来自于《剑指 Offer》第 29 题:数组中超过一半的数字
面试题:数组中有一个数字出现的次数超过数组长度的一半,请找出这个数字并输出。比如 {1,2,3,2,2,2,1} 中 2 的次数是 4,数组长度为 7,所以输出 2。要求不能修改输入的数组。
作 者: 南 尘
出 处: http://www.cnblogs.com/liushilin/
版权声明:本文版权归作者和博客园共有,欢迎转载,但未经作者同意必须保留此段声明,且在文章页面明显位置给出原文链接。
随时随地看视频