基本概念
图像的平滑也就是图像的模糊处理,简单但是使用频率很高,在执行许多高级处理之前都需要先进性图像的平滑处理,以提高图像处理算法效果。
平滑处理中需要使用滤波器,常用的是线性滤波器,作用是将输入像素值的加权和作为结果输出给锚点像素。
g(i,j) 为输出的锚点像素值;f(i+k,j+l) 为输入的像素值;h(k,l) 为核

image
滤波过程示例:

image
图像读入到mat
介绍平滑算法之前,先调用android自带图库,选择一张图片后返回到app中,保存在一个mat对象里。
//点击按钮,启动图库
btnLoadImg.setOnClickListener(new View.OnClickListener() { @Override
public void onClick(View v) {
Intent imgPickerIntent = new Intent(Intent.ACTION_PICK);
imgPickerIntent.setType("image/*");
startActivityForResult(imgPickerIntent, REQ_CODE_PICK_IMG);
}
});
@Override
protected void onActivityResult(int requestCode, int resultCode, @Nullable Intent data) { super.onActivityResult(requestCode, resultCode, data); if (requestCode == REQ_CODE_PICK_IMG) { if (resultCode == RESULT_OK) { try { //获取图库选择的图像
final Uri imgUri = data.getData(); final InputStream inputStream = getContentResolver().openInputStream(imgUri); //图像输入流解析为bitmap对象
final Bitmap originImg = BitmapFactory.decodeStream(inputStream); //根据bitmap信息初始化mat对象
src = new Mat(originImg.getHeight(), originImg.getWidth(), CvType.CV_8UC4); //将bitmap转换为mat对象
Utils.bitmapToMat(originImg, src);
} catch (FileNotFoundException e) {
e.printStackTrace();
}
}
}
}另外,图像保存在mat对象中,所以还需要一个显示mat对象图像的方法。
private void showMat() { //根据mat对象信息初始化bitmap
Bitmap processedImg = Bitmap.createBitmap(src.cols(), src.rows(), Bitmap.Config.ARGB_8888); //将mat对象转换到bitmap
Utils.matToBitmap(src, processedImg); //显示
imgProcess.setImageBitmap(processedImg);
}均值模糊
使用归一化块滤波器,也是最简单的滤波器,输出像素值是核窗口内像素的均值,即所有像素加权系数相等。
核如下:

image
opencv-android sdk 提供的方法如下
/**
* 均值模糊
* @param src 源图像mat
* @param dst 目标图像mat
* @param ksize 核大小
*/
public static void blur(Mat src, Mat dst, Size ksize)
{ //sdk封装的一个jni方法,具体的实现在.so库中用c/c++实现
blur_2(src.nativeObj, dst.nativeObj, ksize.width, ksize.height);
return;
}方法使用如下:
Imgproc.blur(src, src, new Size(3, 3)); showMat();
高斯模糊
高斯滤波器是最有用的滤波器(不是最快),将输入的每一个像素点与高斯内核的卷积核作为输出像素值。
高斯模糊中,距离锚点像素越近的输入像素权重越高,即临近锚点像素对像素结果的影响比那些较远的像素要高。

image
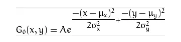
高斯核是通过高斯函数获得的

image
opencv-android sdk 提供的方法如下
//javadoc: GaussianBlur(src, dst, ksize, sigmaX)
public static void GaussianBlur(Mat src, Mat dst, Size ksize, double sigmaX)
{ //sdk封装的一个jni方法,具体的实现在.so库中用c/c++实现
GaussianBlur_2(src.nativeObj, dst.nativeObj, ksize.width, ksize.height, sigmaX);
return;
}方法使用
Imgproc.GaussianBlur(src, src, new Size(3, 3), 0); showMat();
中值滤波
中值滤波是将图像的每个像素用邻域像素的中值代替。
opencv-android sdk 提供的方法如下
//javadoc: medianBlur(src, dst, ksize)
public static void medianBlur(Mat src, Mat dst, int ksize)
{
medianBlur_0(src.nativeObj, dst.nativeObj, ksize);
return;
}方法使用
Imgproc.medianBlur(src, src, 3); showMat();
作者:昵称真难选
链接:https://www.jianshu.com/p/b3c2d50f9d73
随时随地看视频